• Предмет: Математика
  • Автор: ivannasakalosh
  • Вопрос задан 10 лет назад

Допоможіть дуже прошу терміново

Приложения:

Ответы

Ответ дал: Zhiraffe
0
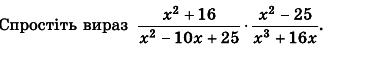
=frac{x^2+16}{(x-5)^2}*frac{(x-5)(x+5)} {x*(x^2+16)}=\ frac {(x^2+16)*(x-5)(x+5)}{(x-5)^2*x*(x^2+16)}=\ frac{x+5}{x*(x-5)}
Вас заинтересует