Ответы
Ответ дал:
0
Решение в приложении.
Приложения:
Ответ дал:
0
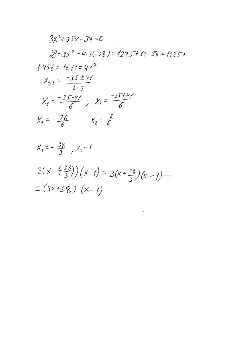
D=b^2-4ac=1225-4*3*(-38)=1225+469=1681
√D=41
X1=-b+√d/2a=-35+41/6=1
X2=-b-41/2a=-35-41/6=-76/6=-38/3
√D=41
X1=-b+√d/2a=-35+41/6=1
X2=-b-41/2a=-35-41/6=-76/6=-38/3
Приложения:
Вас заинтересует
8 лет назад
8 лет назад
10 лет назад
11 лет назад
11 лет назад