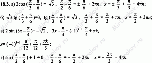
объясните пожалуйста с подробным решением!Очень надо! хотябы 1 уравнение.(тут ответы из гдз,а понять что откуда не могу)
Приложения:

Ответы
Ответ дал:
0
а)2cos(p/3-p/6)=к общему знаменателю в скобках 2cos(p/6)=2cos(корень из 3 / 2)=2 умножить на корень из 3 /2=корень из 3
Вас заинтересует
2 года назад
2 года назад
8 лет назад
8 лет назад
10 лет назад
10 лет назад
10 лет назад