• Предмет: Алгебра
  • Автор: doc1797
  • Вопрос задан 11 лет назад

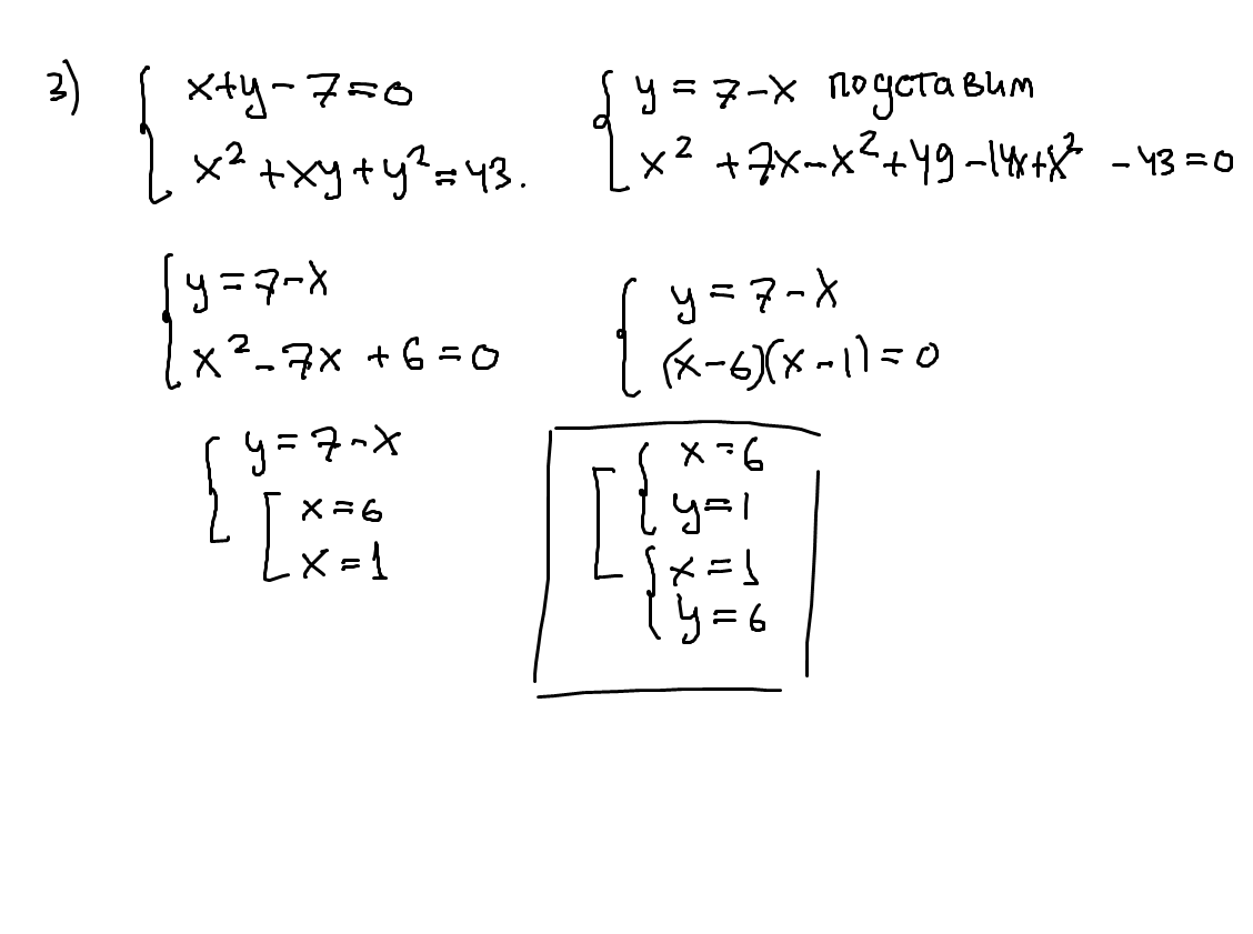
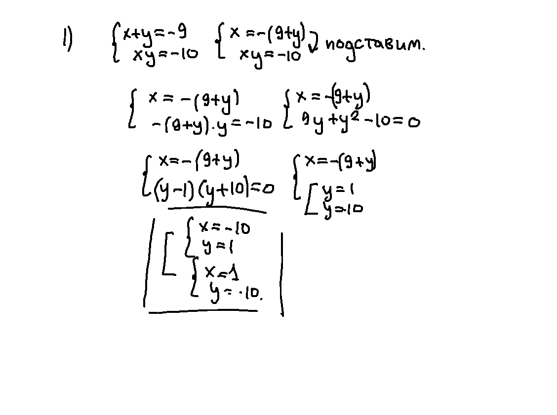
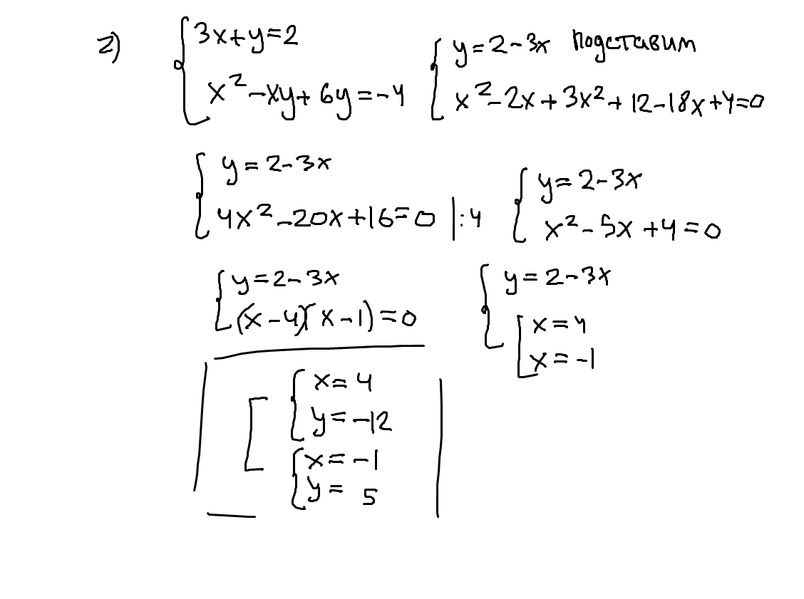
Решите систему уравнений способом подстановки:

Приложения:

Ответы

Ответ дал: Rapitos
0

вот три системы. если что: фигурная скобка - система, квадратная - совокупность

Приложения:
Вас заинтересует