• Предмет: Алгебра
  • Автор: ishxan511
  • Вопрос задан 10 лет назад

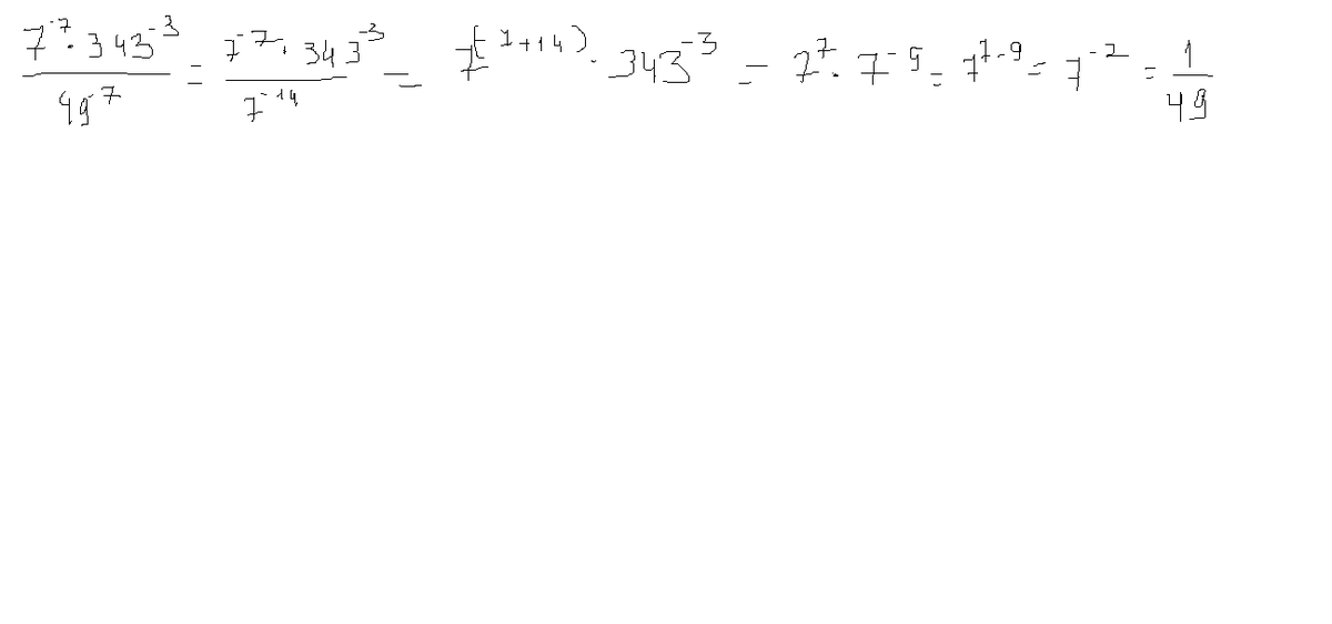
Решите пример 9-го класса

Приложения:

Ответы

Ответ дал: nik12101
0
решение во вложении, надеюсь будет понятно

Приложения:
Ответ дал: ishxan511
0
Спасибо!
Вас заинтересует