Выяснить, каким числом (рациональным или иррациональным (не рациональным) является значения числового выражения)

След. уравнение по желанию, кто как хорошо знает алгебру
Ответы
Ответ дал:
0
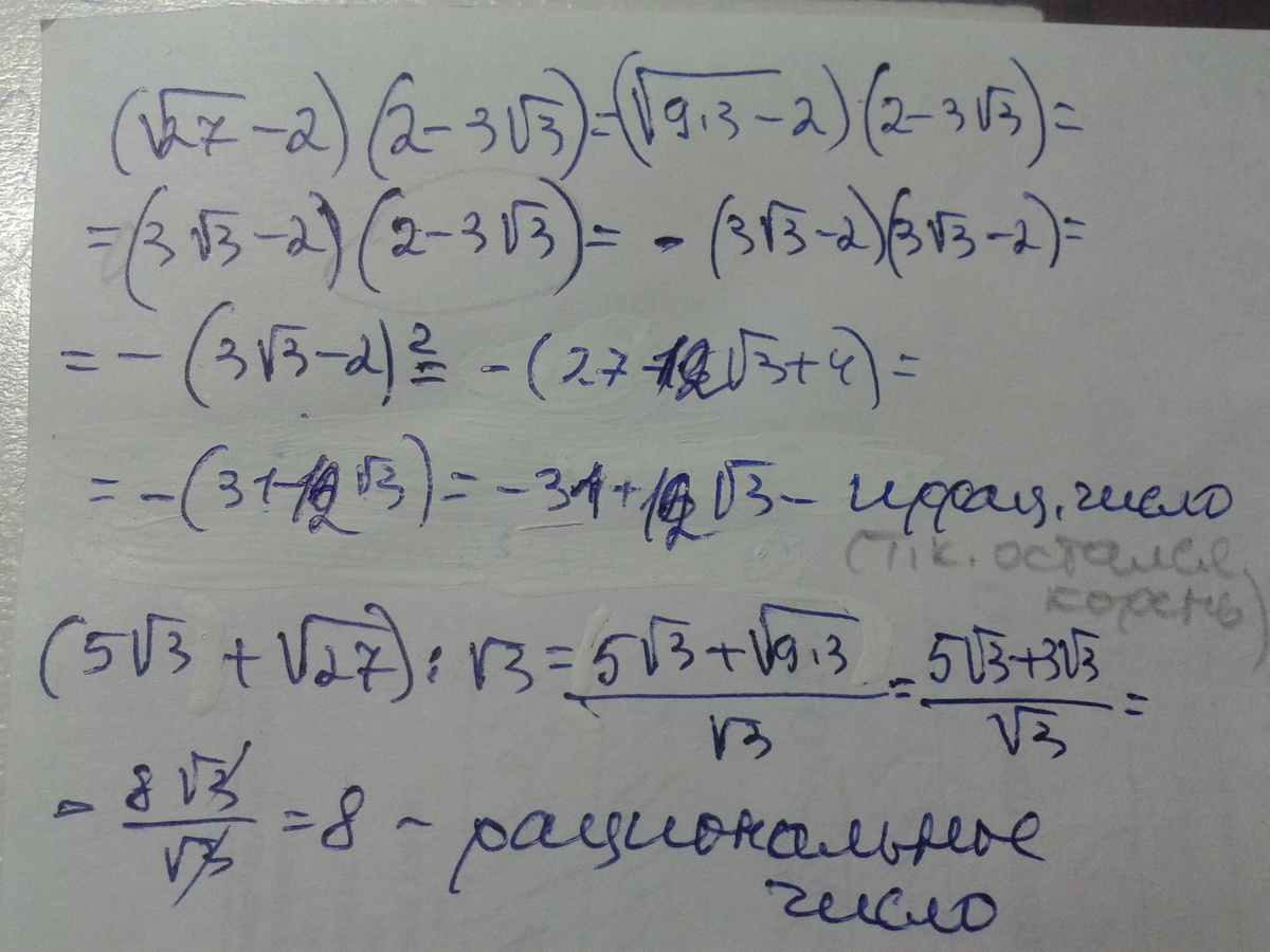
Всё подробно написала в решении.
Приложения:


Ответ дал:
0
Спасибо! Как раз вспомню материал 7 - 9 класса.
Ответ дал:
0
Ах да, ты раскладываешь -(3V3-2)^2= формула а^2+2ab+b^2, значит 2*3V3*2=12V3, но почему у тебя 6V3?
Вас заинтересует
2 года назад
7 лет назад
7 лет назад
10 лет назад
10 лет назад