• Предмет: Математика
  • Автор: AriannaCat
  • Вопрос задан 10 лет назад

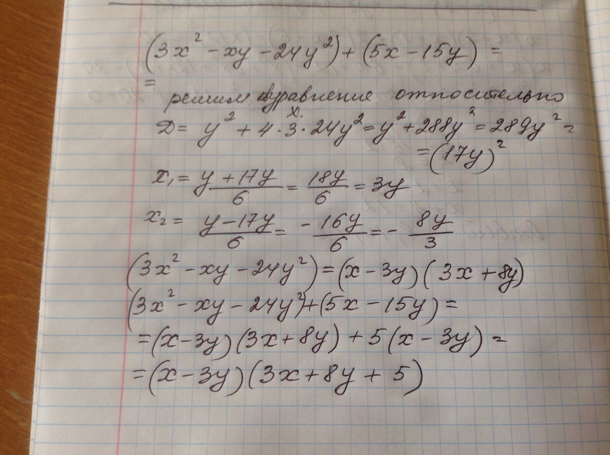
3х^2-ху-24у^2+5х-15у
Разложите многочлен на множители.
подробно, пожалуйста:)

Ответы

Ответ дал: ВладимирБ
0
Решение смотри в приложении
Приложения:
Ответ дал: AriannaCat
0
ничего не понятно, но ладно, спасибо.
Вас заинтересует