• Предмет: Алгебра
  • Автор: PolatAlemdar
  • Вопрос задан 10 лет назад

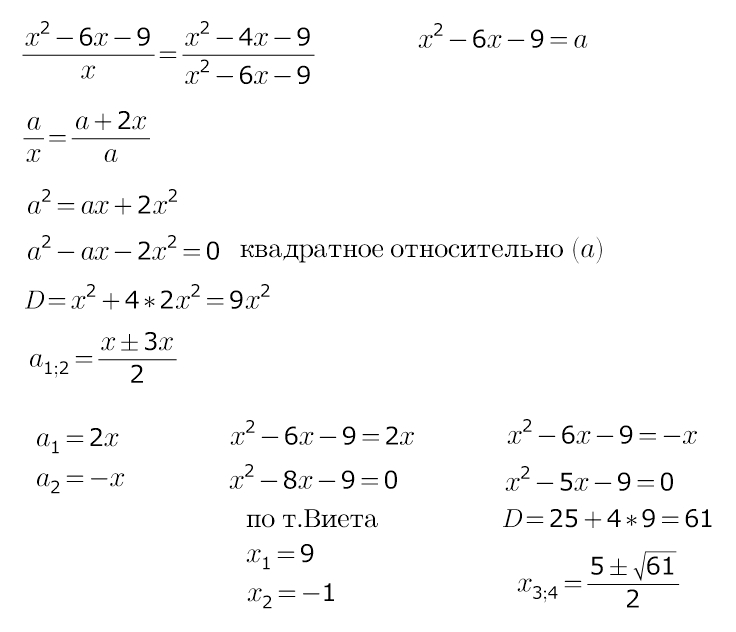
решить уравнение методом замены:
(х^2-6х-9)/х=(х^2-4х-9)/(х^2-6х-9)
заранее благодарю

Ответы

Ответ дал: LFP
0
-------------------------------------------------
Приложения:
Вас заинтересует