• Предмет: Алгебра
  • Автор: tbu
  • Вопрос задан 10 лет назад

1/n!-1/(n+1)! вычислить
размещение (A из m по n + A из m по (n-1))/A из m по n-2 

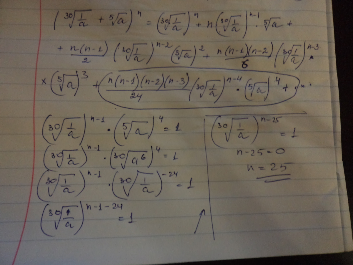
Приложения:

Ответы

Ответ дал: Mydrый
0
5 и 8 ------------------------------------------
добавила 4
Приложения:
Ответ дал: tbu
0
в 4 , разве наверху не m !
Ответ дал: Mydrый
0
точно, переделаю
Ответ дал: Mydrый
0
исправить уже не могу((((
Ответ дал: Mydrый
0
вот http://hkar.ru/DEMN
Ответ дал: tbu
0
спасибо
Вас заинтересует