20 баллов за правильное решение.
Найдите корень уравнения:
1) 0,9х - 0,6(х-3)÷2 (0,2х-1,3)
2) -0,4 (3х-1)+8 (0,8х-0,3)=5-(3,8х+4)
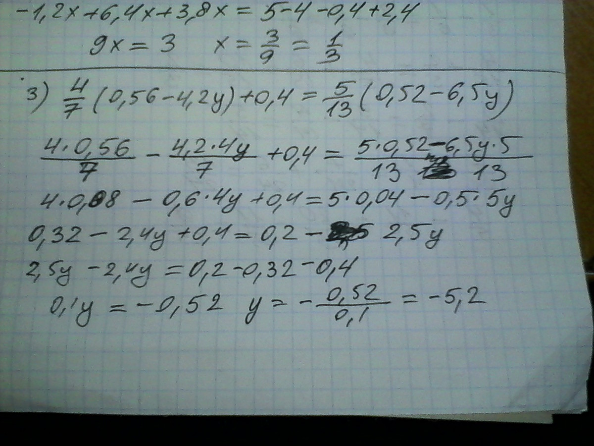
3) дробь 4/7(0,56-4,2у)+0,4= 5/13 (0,52-6,5у)
Ответы
Ответ дал:
0
первые два лови- скоро третий
ГОТОВО- УДАЧИ!!!
Приложения:


Ответ дал:
0
Все равно ты уделил мне время, это уже стоит лучшего ответа
Ответ дал:
0
ТРЕТИЙ ГОТОВ
Ответ дал:
0
а как ты фото вставил??????
Ответ дал:
0
опция в добавлении решения присутствует такая)))
Ответ дал:
0
я сижу с приложения но у меня нету((
Вас заинтересует
2 года назад
7 лет назад
7 лет назад
10 лет назад
10 лет назад
10 лет назад