Ответы
Ответ дал:
0
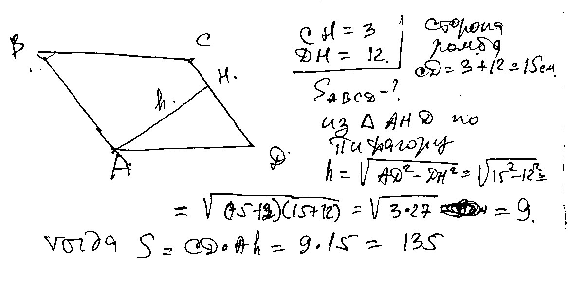
Высота AH ромба ABCD делит сторону CD на отрезки DH=12 и CH=3. Найдите площадь ромба.
Приложения:

Вас заинтересует
7 лет назад
10 лет назад
10 лет назад