Ответы
Ответ дал:
0
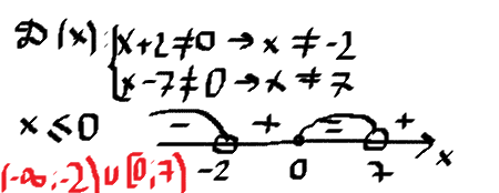
От минус бесконечности до -2 и от 0 до 7
Ответ дал:
0
а с решением?
Ответ дал:
0
Решение во вложении)
Приложения:

Ответ дал:
0
Блин можете с решением а не так все по порядку
Ответ дал:
0
так это и есть решение. ты сначала ищешь ОДЗ (D(x)). В данном случае - знаменатель не равен 0. это и есть ОДЗ. во вложении я написала, что там получится. а в числителе так и останется x≤0.
Ответ дал:
0
а потом ты расставляешь точки -2,0,7 на координатной прямой и просчитываешь знаки)
Ответ дал:
0
Ладно заслуженно)спасибо)
Ответ дал:
0
сучки мой
Вас заинтересует
2 года назад
7 лет назад
7 лет назад
10 лет назад
10 лет назад