Помогите, пожалуйста, решить, если не трудно, объясните как получилось.Буду признательна.
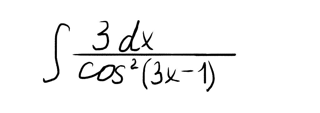
Найдите неопределенный интеграл
Приложения:

Ответы
Ответ дал:
0
3 - производная (3x+1), поэтому интеграл равен tg(3x+1)+C
Вас заинтересует
2 года назад
8 лет назад
10 лет назад
10 лет назад
10 лет назад