Ответы
Ответ дал:
0
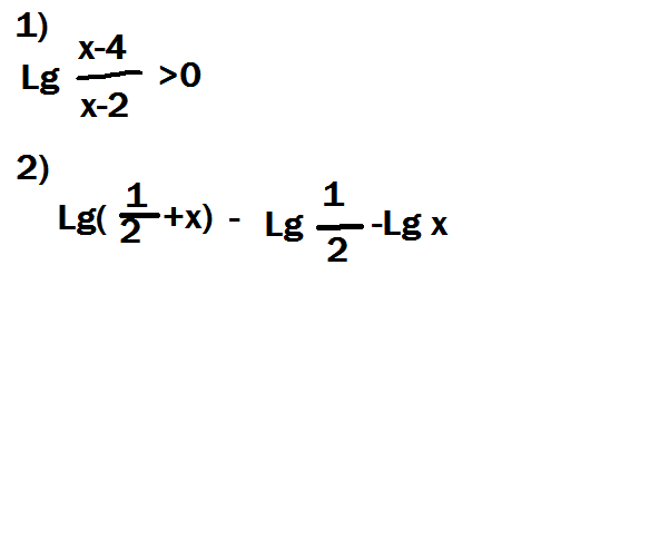
lg((x-4)/(x-2))>0
это тоже самое что и log ((x-4)/(x-2)) по осн. 10
10^0=1
((x-4)/(x-2))>1
(x-4-x+2)/x-2>0
-2/x-2>0
2/x-2<0
ответ от -бесконечности до 2 не включая
Приложения:

Вас заинтересует
2 года назад
2 года назад
8 лет назад
10 лет назад
10 лет назад
10 лет назад