• Предмет: Алгебра
  • Автор: vivi200003
  • Вопрос задан 10 лет назад

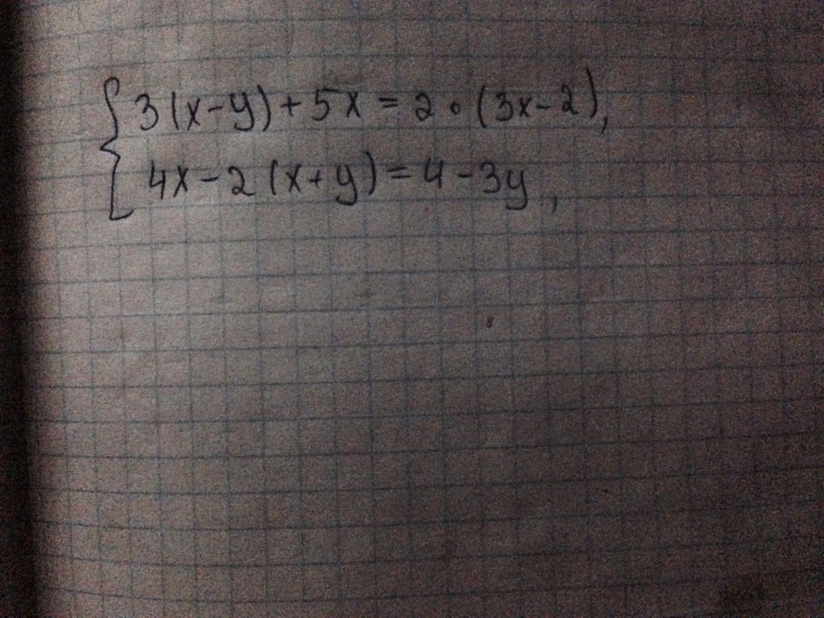
Ребят,помогите решить пожалуйста

Приложения:

Ответы

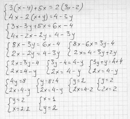
Ответ дал: математик2011
0
!!!!!!!!!!!!!!!!!!!!!!!!!!!!!!!
Приложения:
Вас заинтересует