• Предмет: Алгебра
  • Автор: nastia126467
  • Вопрос задан 10 лет назад

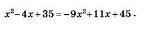
Как решить такое уравнения? Что это за уравнение?
Можно ОЧЕНЬ подробно разобрать? (чтобы я поняла)

Приложения:

Ответа на этот вопрос пока нет. Попробуйте найти его через форму поиска.

Вас заинтересует