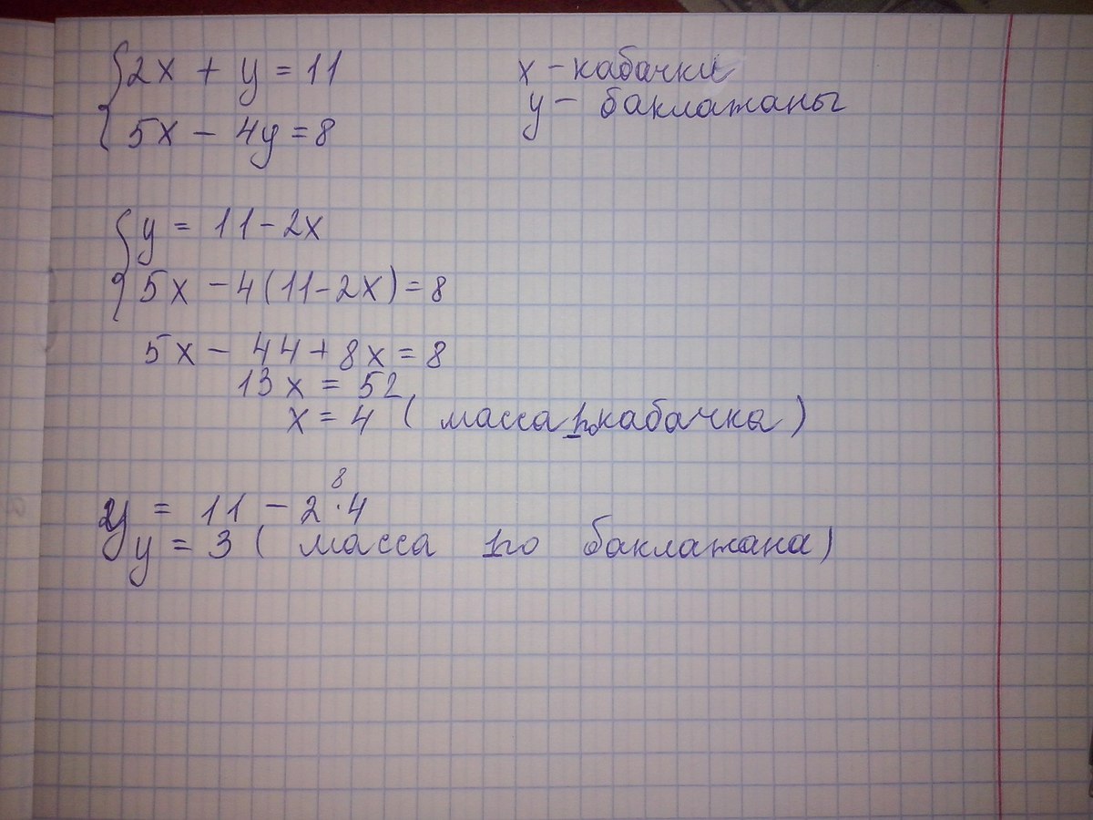
Масса двух одинаковых кабачков и одного баклажана состовляет 11 кг. Пять кабачков на 8 кг тяжелее четырёх баклажанов. Какова масса одного кабачка и одного баклажана?
Ответы
Ответ дал:
0
Решение во вложении......
Приложения:

Вас заинтересует
2 года назад
2 года назад
7 лет назад
7 лет назад
10 лет назад
10 лет назад