Ответы
Ответ дал:
0
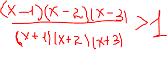
(x-1)(x-2)(x-3)/(x+1)(x+2)(x+3) > 1 ;
(x-1)(x-2)(x-3)/(x+1)(x+2)(x+3) -1 > 0;
((x-1)(x-2)(x-3) -(x+1)(x+2)(x+3))/ (x+1)(x+2)(x+3) > 0;
( (x² -3x+2)(x-3) -(x²+3x+2)(x+3)) / (x+1)(x+2)(x+3) >0 ;
-12(x² +1)/(x+1)(x+2)(x+3) >0 ; * * * -12(x²+1) < 0 * * *
(x+1)(x+2)(x+3) <0 ; * * * (x+3)(x+2)(x+1)< 0 * * *
методом интервалов :
- + - +
----------- ( -3 )---------( -2) ----------(-1) -----------
x∈(-∞; - 3) U ( -2; -1) .
(x-1)(x-2)(x-3)/(x+1)(x+2)(x+3) -1 > 0;
((x-1)(x-2)(x-3) -(x+1)(x+2)(x+3))/ (x+1)(x+2)(x+3) > 0;
( (x² -3x+2)(x-3) -(x²+3x+2)(x+3)) / (x+1)(x+2)(x+3) >0 ;
-12(x² +1)/(x+1)(x+2)(x+3) >0 ; * * * -12(x²+1) < 0 * * *
(x+1)(x+2)(x+3) <0 ; * * * (x+3)(x+2)(x+1)< 0 * * *
методом интервалов :
- + - +
----------- ( -3 )---------( -2) ----------(-1) -----------
x∈(-∞; - 3) U ( -2; -1) .
Ответ дал:
0
спасибо!
Вас заинтересует
2 года назад
8 лет назад
10 лет назад
11 лет назад