Найдите корень уравнения:
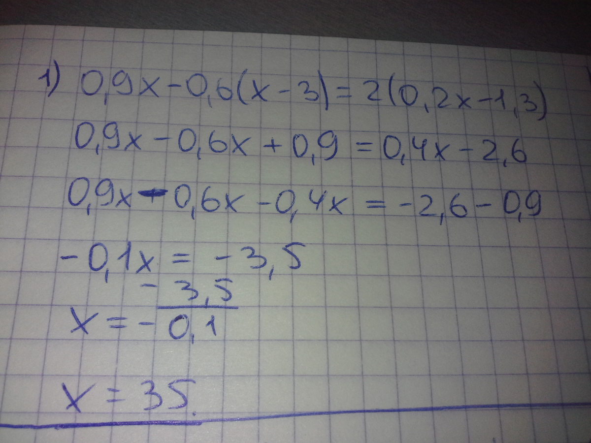
1)0,9х-0,6(х-3)=2(0,2х-1,3)
2)-0,4(3х-1)+8(0,8х-0,3)=5-(3.8х+4)
3)4/7(0,56-4,2у)+0,4=5/13(0,52-6,5у)
Ответы
Ответ дал:
0
Вот, пожалуйста. Во втором, вероятно, ошибка?
Приложения:

Ответ дал:
0
а 2 и 3 уравнение?
Вас заинтересует
2 года назад
2 года назад
7 лет назад
10 лет назад