Ответы
Ответ дал:
0
**************************
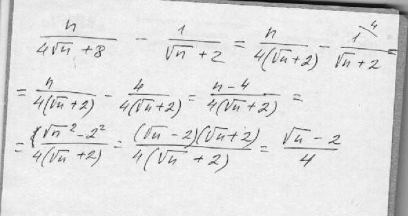
Приложения:

Ответ дал:
0
спс
Вас заинтересует
2 года назад
2 года назад
7 лет назад
7 лет назад
10 лет назад
10 лет назад