Ответы
Ответ дал:
0
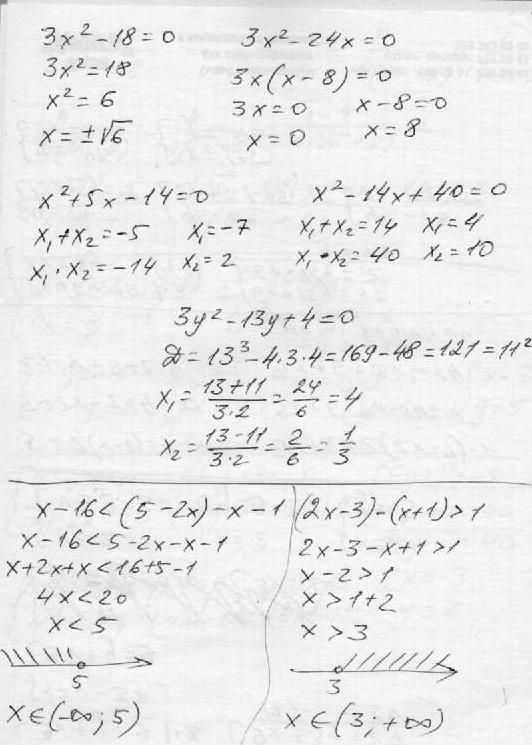
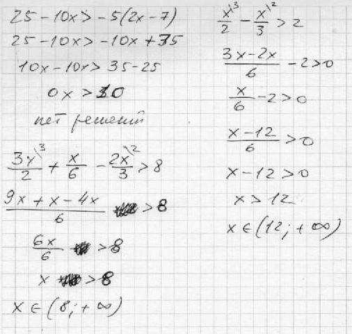
Смотри ответы во вложениях
Приложения:


Вас заинтересует
2 года назад
2 года назад
7 лет назад
7 лет назад
10 лет назад
10 лет назад
10 лет назад