• Предмет: Алгебра
  • Автор: daguio
  • Вопрос задан 11 лет назад

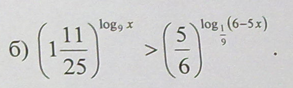
Здравствуйте. Помогите решить логарифмическое нер-во

Приложения:

Ответы

Ответ дал: nectome
0

Одз: x>0 и 6-5x>0 пересечением является неравенство 0<x<6/5

(36/25)^log9(x)>(5/6)^ -log9(6-5x)

(6/5)^log9(x в квадрате )>(6/5)^ log9(6-5x)

тк 6/5>1 то неравенство выше равносильно неравенству

x^2>6-5x

x^2+5x-6>0

решением этого неравенства явл x<-6 и x>1

найдем пересечение с ОДЗ, получает что 1<x<6/5

 

Вас заинтересует