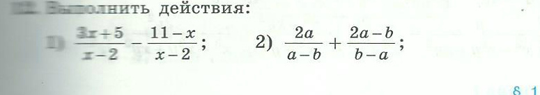
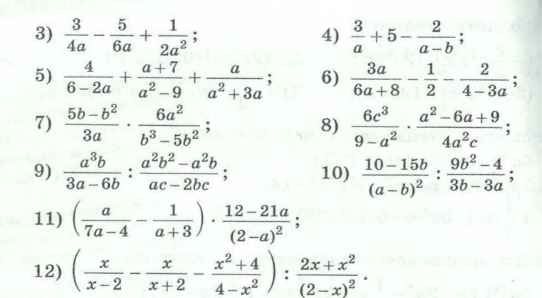
Ребятки, помогите пожалуйста! Задание №12 из учебника 10 класса Ю.М.Колягина, М.В. Ткачева, Н.Е. Федорова, М.И. Шабунина. Заранее спасибо!
Приложения:


Ответа на этот вопрос пока нет. Попробуйте найти его через форму поиска.
Вас заинтересует
2 года назад
2 года назад
7 лет назад
10 лет назад
10 лет назад
10 лет назад