• Предмет: Алгебра
  • Автор: avilika
  • Вопрос задан 10 лет назад

Помогите решить.За ранее,спасибо.
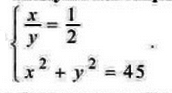
/В ответах должно быть (3;6)
(-3;-6.)

Приложения:

Ответа на этот вопрос пока нет. Попробуйте найти его через форму поиска.

Вас заинтересует