Срочно!!!! Найти общий вид первообразной и построить график f(x)=1/корень из Х +1 ( единица не под корнем) координаты точки А(корень из 3; -1)
Ответы
Ответ дал:
0
Первообразная: F(x)=2√x + x + C
![-1=2 sqrt{ sqrt{3} } +sqrt{3}+C\ C=-1-sqrt{3}-2- sqrt[4]{3} -1=2 sqrt{ sqrt{3} } +sqrt{3}+C\ C=-1-sqrt{3}-2- sqrt[4]{3}](https://tex.z-dn.net/?f=-1%3D2+sqrt%7B+sqrt%7B3%7D+%7D+%2Bsqrt%7B3%7D%2BC%5C+C%3D-1-sqrt%7B3%7D-2-+sqrt%5B4%5D%7B3%7D+)
Общий вид:![F(x)=2 sqrt{x} +x-1-sqrt{3}-2- sqrt[4]{3} F(x)=2 sqrt{x} +x-1-sqrt{3}-2- sqrt[4]{3}](https://tex.z-dn.net/?f=F%28x%29%3D2+sqrt%7Bx%7D+%2Bx-1-sqrt%7B3%7D-2-+sqrt%5B4%5D%7B3%7D+)
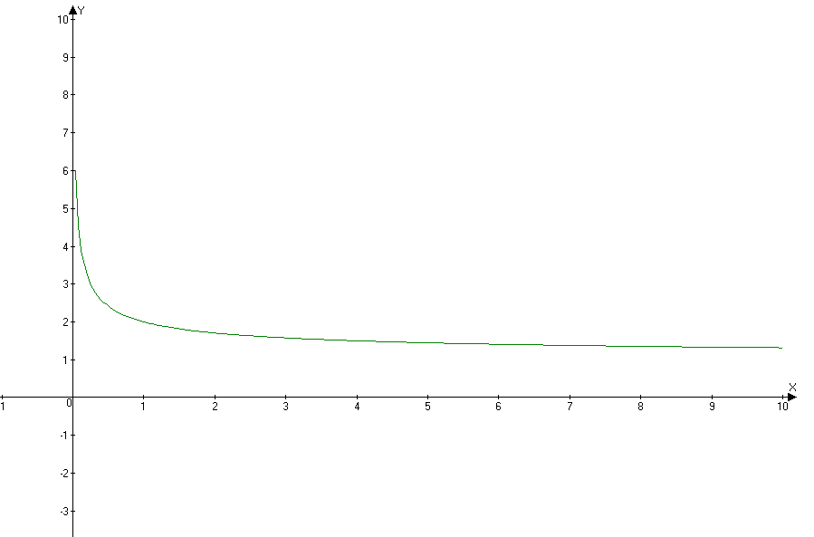
Область определения функции D(f) = (0;+∞)
Дополнительные точки подберите сами_
Общий вид:
Область определения функции D(f) = (0;+∞)
Дополнительные точки подберите сами_
Приложения:
Ответ дал:
0
спасибо большое
Ответ дал:
0
можете пожалуйста написать подробно, как вы его построили
Вас заинтересует
3 года назад
3 года назад
8 лет назад
10 лет назад
10 лет назад
11 лет назад