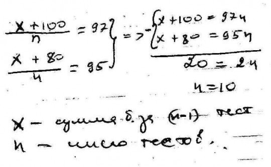
Вася проходит серию тестов, за каждый из которых он может получить от 0 до 100 баллов. Перед выполнением последнего теста Вася подсчитал, что если он получит за него 100 баллов, то его средний балл будет 97, а если получит всего 80 баллов, то его средний балл будет 95. Сколько всего тестов в этой серии?
Ответы
                                            Ответ дал: 
                                                                                    
                                        
                                            
                                                
                                                
                                                
                                                    0
                                                
                                            
                                        
                                    
                                        вот так как то !!!!!!!
                                    
                                                Приложения:
                    
                            
                                            Ответ дал: 
                                                                                    
                                        
                                            
                                                
                                                
                                                
                                                    0
                                                
                                            
                                        
                                    
                                        я так понимаю 4 теста?
                                    
                                        
                                        
                                Вас заинтересует
                
                        2 года назад
                    
                
                        2 года назад
                    
                
                        7 лет назад
                    
                
                        7 лет назад
                    
                
                        10 лет назад