• Предмет: Алгебра
  • Автор: ЭмилиГрэй
  • Вопрос задан 10 лет назад

СРОЧНО! ПОМОГИТЕ!!!

 frac{14x}{x+1} - frac{9x-30}{x-4}  leq 0

Ответы

Ответ дал: ВладимирБ
0
Решение смотри в приложении
Приложения:
Ответ дал: Randy228
0
   
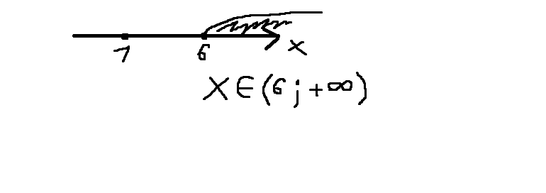
Находим общий знаменатель, равный (x+1)(x-4)
5x^2-35x+30 leq 0 
x^2-7x+6 leq 0
x^2-7x+6=(x-1)(x-6)  ⇒
(x-1)(x-6) leq 0 
x-1≤0
x≥1
x-6≤0
x≥6
Ответ:x∈[6;+∞)
Приложения:
Ответ дал: Randy228
0
x∈[6;+∞), а не x∈(6;+∞). Исправил ответ.
Вас заинтересует