• Предмет: Алгебра
  • Автор: ksyusha1221
  • Вопрос задан 11 лет назад

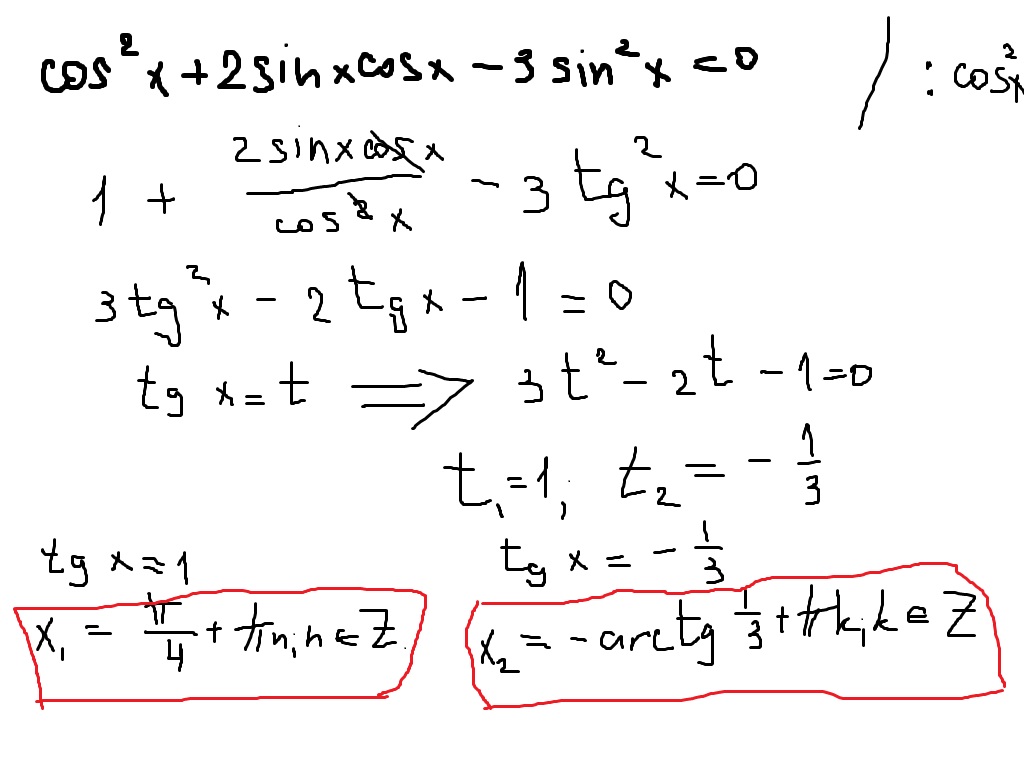
cos в квадрате x + sin2x -3sin в квадрате x=0 найти х

Ответы

Ответ дал: SashA1KOТ
0

прошу прощения за почерк, не умею мышкой писать =)

Приложения:
Вас заинтересует