• Предмет: Алгебра
  • Автор: dina1malvina
  • Вопрос задан 11 лет назад

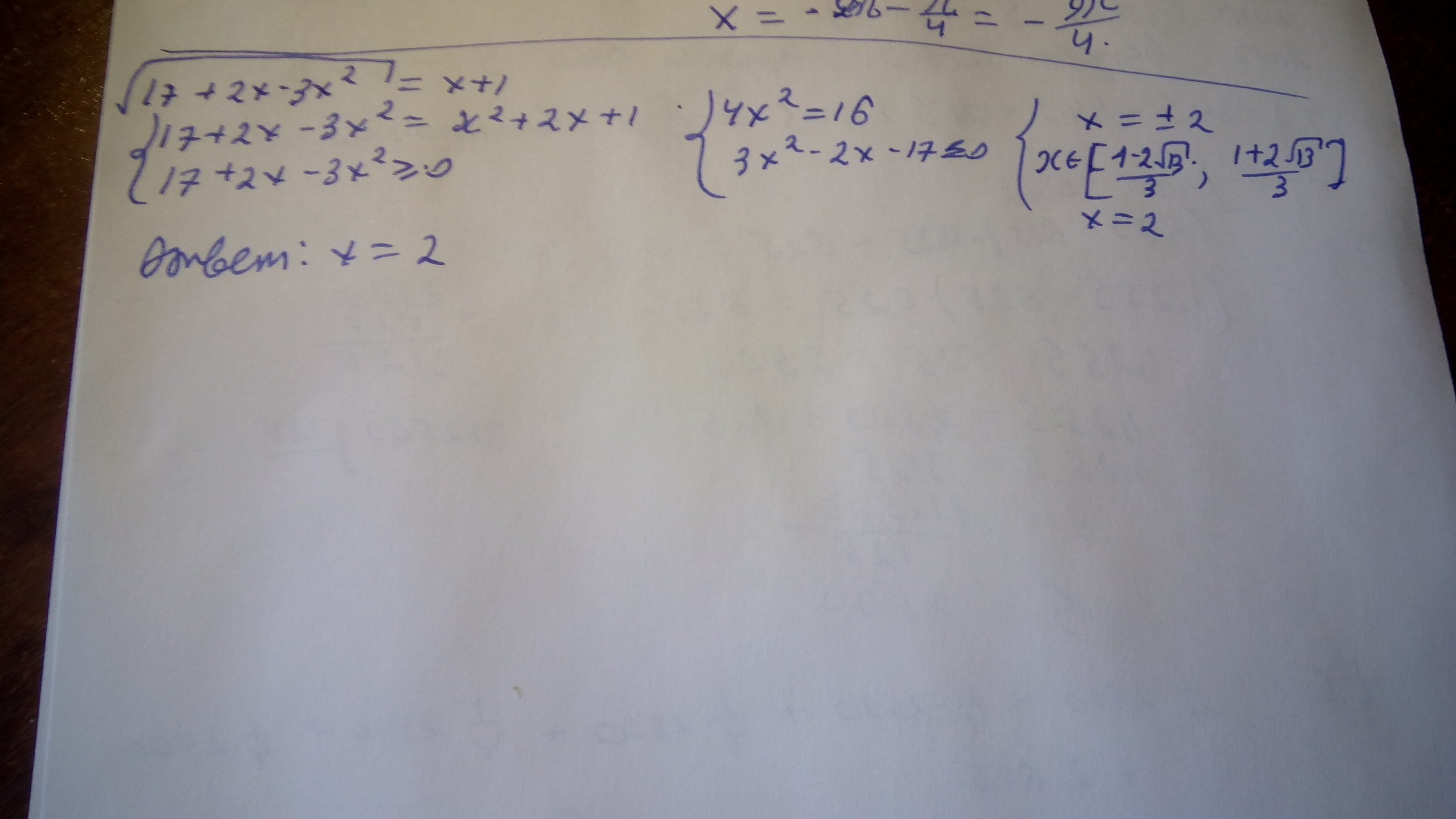
решите уравнение

(корень)17+2x-3x^2=x+1

Ответы

Ответ дал: Алкадиеныч
0
Решение на фотографии
Приложения:
Вас заинтересует