• Предмет: Математика
  • Автор: niksergoyan
  • Вопрос задан 10 лет назад

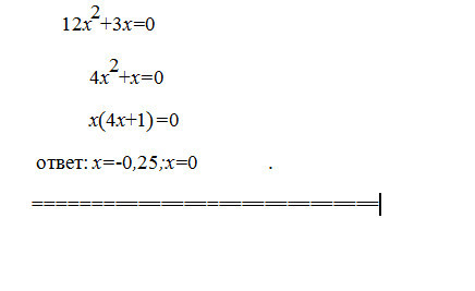
12 x^{2} +3x=0

25-100 x^{2} =0

4-36 x^{2} =0

 x^{2} -14=0

Ответы

Ответ дал: triolana
0
=====================================
Приложения:
Вас заинтересует