• Предмет: Алгебра
  • Автор: JJJJJJ28
  • Вопрос задан 10 лет назад

Решите систему уравнений по действиям

Приложения:

Ответы

Ответ дал: LFP
0
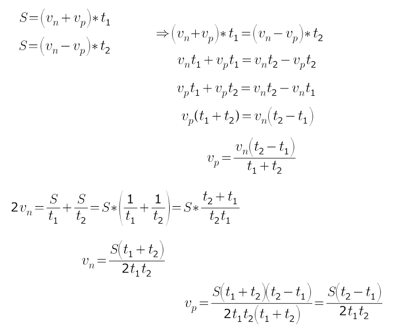
из каждого уравнения можно выразить S
и оба уравнения можно сложить и выразить  v_n
Приложения:
Вас заинтересует
11 лет назад