• Предмет: Алгебра
  • Автор: abdullaabdiev
  • Вопрос задан 10 лет назад

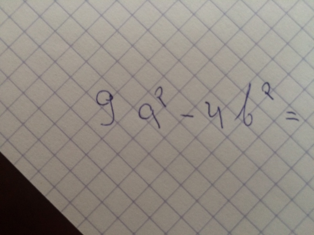
Разложить на множители!!! ПОМОГИТЕ! Срочно!!!

Приложения:

Ответы

Ответ дал: CVita
0
9a^2-4b^2=(3a)^2-(2b)^2=(3a-2b)(3a+2b)
Ответ дал: CVita
0
сам решил
Ответ дал: abdullaabdiev
0
ты есть в вк ?? у меня просто много задач нерешенных
Ответ дал: CVita
0
нет. я там не обитаю.
Ответ дал: CVita
0
выкладывай на "знания"
Ответ дал: abdullaabdiev
0
окей тогда я выложу а ты помоги
Вас заинтересует