Ответы
Ответ дал:
0
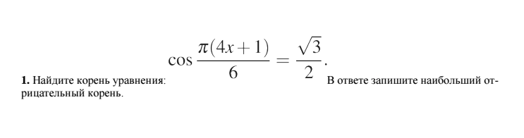
cos ((π(4x+1))/6) =(√3)/2
π(4x+1) = + π/6 +2πk, k∈Z
6
π(4x+1)= + π +12πk
4x+1 = + π/π + 12πk/π
4x+1= + 1 +12k
1) 4x+1=1+12k
4x=1-1+12k
4x=12k
x=3k
При х<0
3k<0
k<0
k=-1
x=3*(-1) =-3
2) 4x+1=-1+12k
4x=-1-1+12k
4x=-2+12k
x= -2 + 12k
4 4
x=-1/2 +3k
При х<0
-1/2 +3k<0
3k< 1/2
k<1/6
k=0
x=-1/2+3*0
x=-1/2
Из х=-3 и х= -1/2 выбираем х= -1/2.
Ответ: -1/2
π(4x+1) = + π/6 +2πk, k∈Z
6
π(4x+1)= + π +12πk
4x+1 = + π/π + 12πk/π
4x+1= + 1 +12k
1) 4x+1=1+12k
4x=1-1+12k
4x=12k
x=3k
При х<0
3k<0
k<0
k=-1
x=3*(-1) =-3
2) 4x+1=-1+12k
4x=-1-1+12k
4x=-2+12k
x= -2 + 12k
4 4
x=-1/2 +3k
При х<0
-1/2 +3k<0
3k< 1/2
k<1/6
k=0
x=-1/2+3*0
x=-1/2
Из х=-3 и х= -1/2 выбираем х= -1/2.
Ответ: -1/2
Вас заинтересует
3 года назад
8 лет назад
8 лет назад
10 лет назад
11 лет назад