• Предмет: Алгебра
  • Автор: Элейсина
  • Вопрос задан 11 лет назад

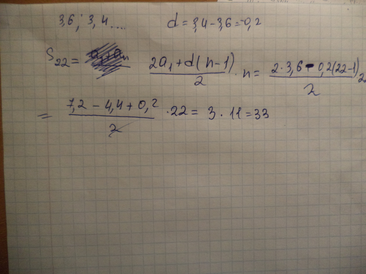
Нужно найти сумму первых двадцати двух членов арифм. прогрессии 3,6; 3.4.....

Ответы

Ответ дал: Ksenyy
0

вот)

посмотри такое) по формуле)

Приложения:
Вас заинтересует