• Предмет: Алгебра
  • Автор: abcdesrt
  • Вопрос задан 11 лет назад

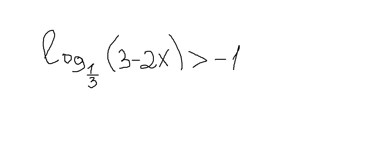
Решите неравенство 

(Вложение)

Приложения:

Ответы

Ответ дал: arin567
0

1)3-2х больше 3

-2х больше 0

х меньше 0

2) 3-2х больше 0

-2х больше -3

х меньше 1,5

ответ: х меньше 0

Ответ дал: Ivanna2013
0

Логарифмируем -1,

-1 =  log по основанию 1/3 (3), така основания меньше 1, то знак неравенства меняем

3-2х< 3

-2x< 0

x> 0

Вас заинтересует