Ответы
Ответ дал:
0
Ответ дал:
0
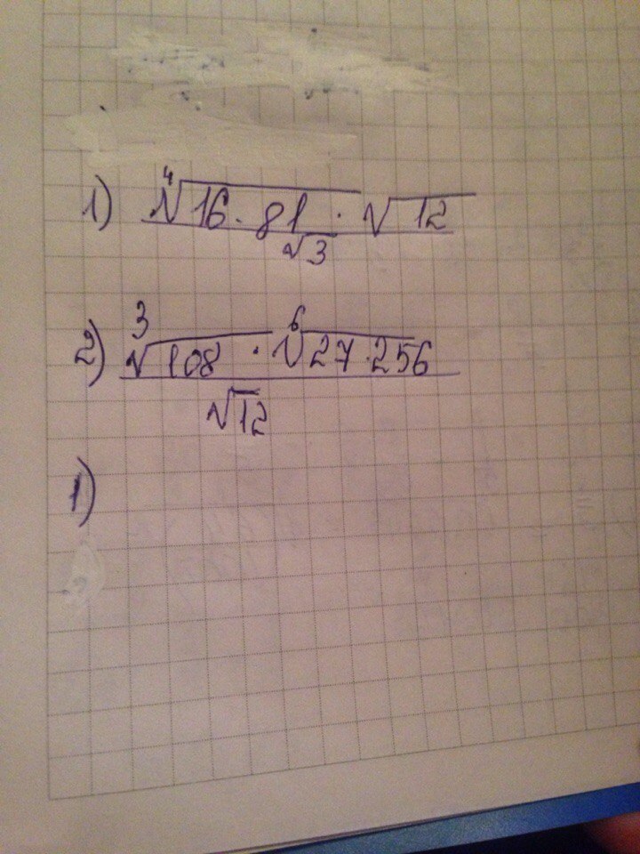
1)
![frac{ sqrt[4]{16*81}* sqrt{12} }{ sqrt{3}} = frac{sqrt[4]{16}* sqrt[4]{81}*sqrt{4}*sqrt{3}}{sqrt{3}}=2 * 3 * 2=12 frac{ sqrt[4]{16*81}* sqrt{12} }{ sqrt{3}} = frac{sqrt[4]{16}* sqrt[4]{81}*sqrt{4}*sqrt{3}}{sqrt{3}}=2 * 3 * 2=12](https://tex.z-dn.net/?f=+frac%7B+sqrt%5B4%5D%7B16%2A81%7D%2A+sqrt%7B12%7D+%7D%7B+sqrt%7B3%7D%7D+%3D+frac%7Bsqrt%5B4%5D%7B16%7D%2A+sqrt%5B4%5D%7B81%7D%2Asqrt%7B4%7D%2Asqrt%7B3%7D%7D%7Bsqrt%7B3%7D%7D%3D2+%2A+3+%2A+2%3D12+)
2)
![frac{ sqrt[3]{108}* sqrt[6]{27 *256}}{ sqrt{12} } = frac{sqrt[3]{108}* sqrt{ sqrt[3]{27}}* sqrt[3]{ sqrt{256}}}{2* sqrt{3} } = frac{sqrt[3]{108}* sqrt{3}* sqrt[3]{16}}{2* sqrt{3}}= frac{ sqrt[3]{1728}}{2}= frac{12}{2}=6 frac{ sqrt[3]{108}* sqrt[6]{27 *256}}{ sqrt{12} } = frac{sqrt[3]{108}* sqrt{ sqrt[3]{27}}* sqrt[3]{ sqrt{256}}}{2* sqrt{3} } = frac{sqrt[3]{108}* sqrt{3}* sqrt[3]{16}}{2* sqrt{3}}= frac{ sqrt[3]{1728}}{2}= frac{12}{2}=6](https://tex.z-dn.net/?f=+frac%7B+sqrt%5B3%5D%7B108%7D%2A+sqrt%5B6%5D%7B27+%2A256%7D%7D%7B+sqrt%7B12%7D+%7D+%3D+frac%7Bsqrt%5B3%5D%7B108%7D%2A+sqrt%7B+sqrt%5B3%5D%7B27%7D%7D%2A+sqrt%5B3%5D%7B+sqrt%7B256%7D%7D%7D%7B2%2A+sqrt%7B3%7D+%7D+%3D+frac%7Bsqrt%5B3%5D%7B108%7D%2A+sqrt%7B3%7D%2A+sqrt%5B3%5D%7B16%7D%7D%7B2%2A+sqrt%7B3%7D%7D%3D+frac%7B+sqrt%5B3%5D%7B1728%7D%7D%7B2%7D%3D+frac%7B12%7D%7B2%7D%3D6++)
2)
Вас заинтересует
3 года назад
3 года назад
8 лет назад
8 лет назад
10 лет назад
11 лет назад