• Предмет: Алгебра
  • Автор: Akado
  • Вопрос задан 11 лет назад

Помогите решить три уравнения (задания во вложении)

Приложения:

Ответы

Ответ дал: Гоша68
0

cosx/2-cos(П/2-x/2)+sinx/2=sqrt(3)/2

cosx/2=sqrt(3)/2

x=+-П/3+4Пk

 

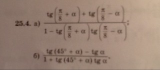
первая это формулп тангенса суммы tg(pi/4)=1

вторая тангенс разности результат тот же =1

Вас заинтересует