• Предмет: Алгебра
  • Автор: NITROLEX
  • Вопрос задан 10 лет назад

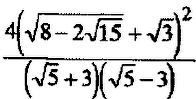
Помогите пожалуйста подробно решить. Ответ должен быть - (-5)

Приложения:

Ответы

Ответ дал: manyny06
0
решение смотри на фотографии
Приложения:
Вас заинтересует