Даю все баллы. Помогите решить системы уравнений,пожалуйста!


-----------------------------------------------------------------------------------------------------------------------------------
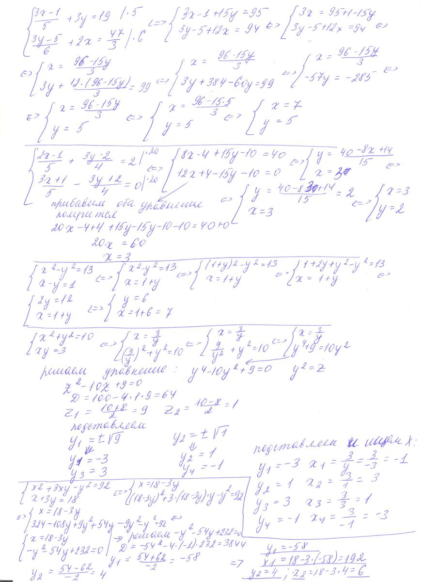
1) 
5) { x²+3xy-y² = 92
{x+3y=18
p.s. сколько сможете,пожалуйста!)
Ответы
Ответ дал:
0
ответ во вложениииииииииииииииииииииииииииииииииииииииииииииииииииии
Приложения:
Ответ дал:
0
спасииибо тебе большое! :)
Вас заинтересует
3 года назад
3 года назад
8 лет назад
10 лет назад
10 лет назад
11 лет назад
11 лет назад