• Предмет: Алгебра
  • Автор: Az20065
  • Вопрос задан 10 лет назад

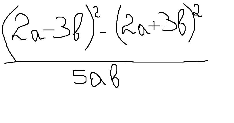
ПОМОГИТЕ ПОЖАЛУЙСТА!!! РЕШИТЕ ПРИМЕР:

Приложения:

Ответы

Ответ дал: aruzhan200109
0
вот держи
там фотография 


Приложения:
Вас заинтересует