• Предмет: Алгебра
  • Автор: tidyone
  • Вопрос задан 11 лет назад

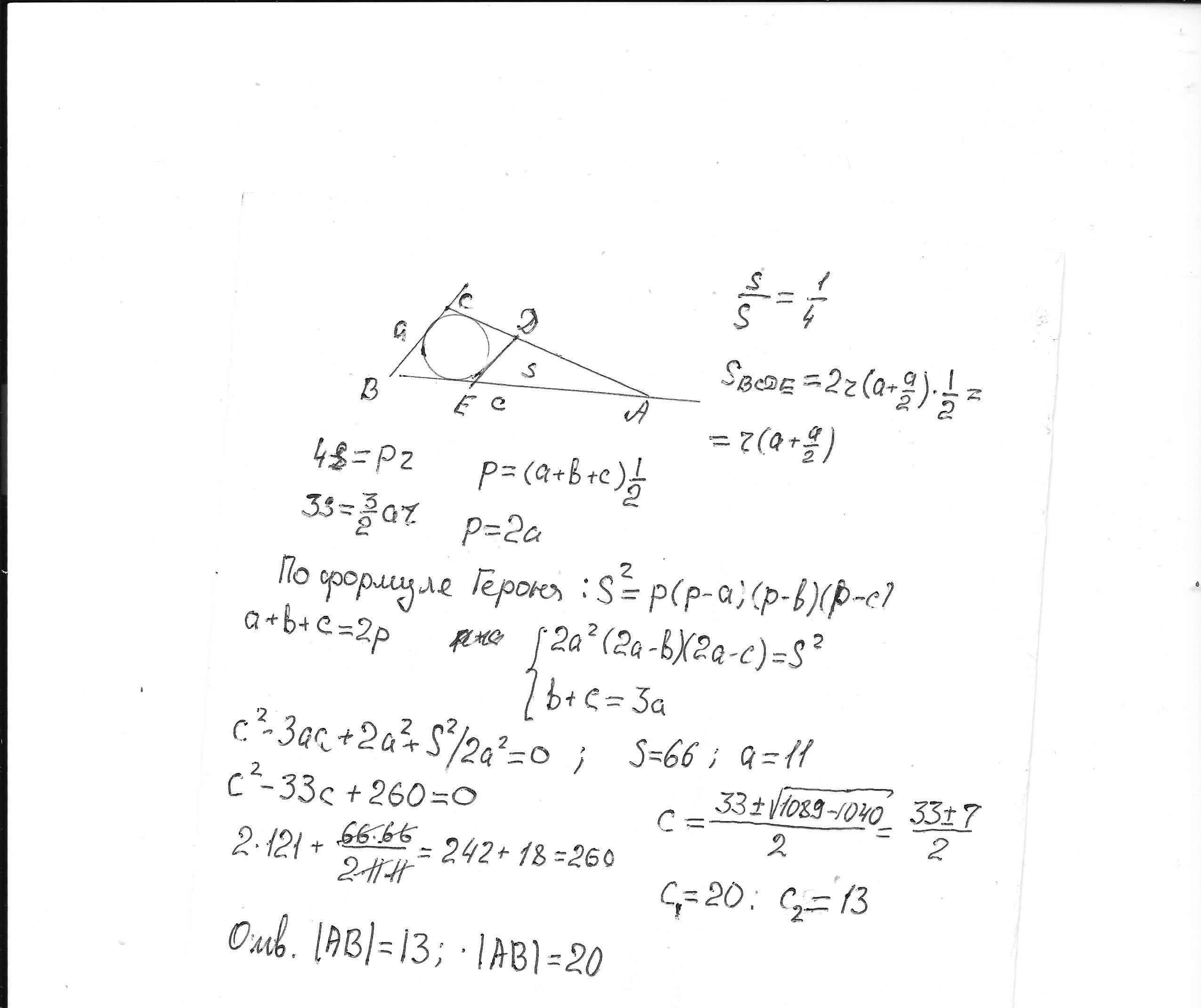
Окружность, вписанная в треугольник ABC, площадь которого равна 66, касается средней линии, параллельной стороне BC. Известно что BC = 11. Найдите сторону AB

Ответы

Ответ дал: Гоша68
0
Решение приложил в файле.
Приложения:
Вас заинтересует