• Предмет: Математика
  • Автор: ГришаТ
  • Вопрос задан 11 лет назад

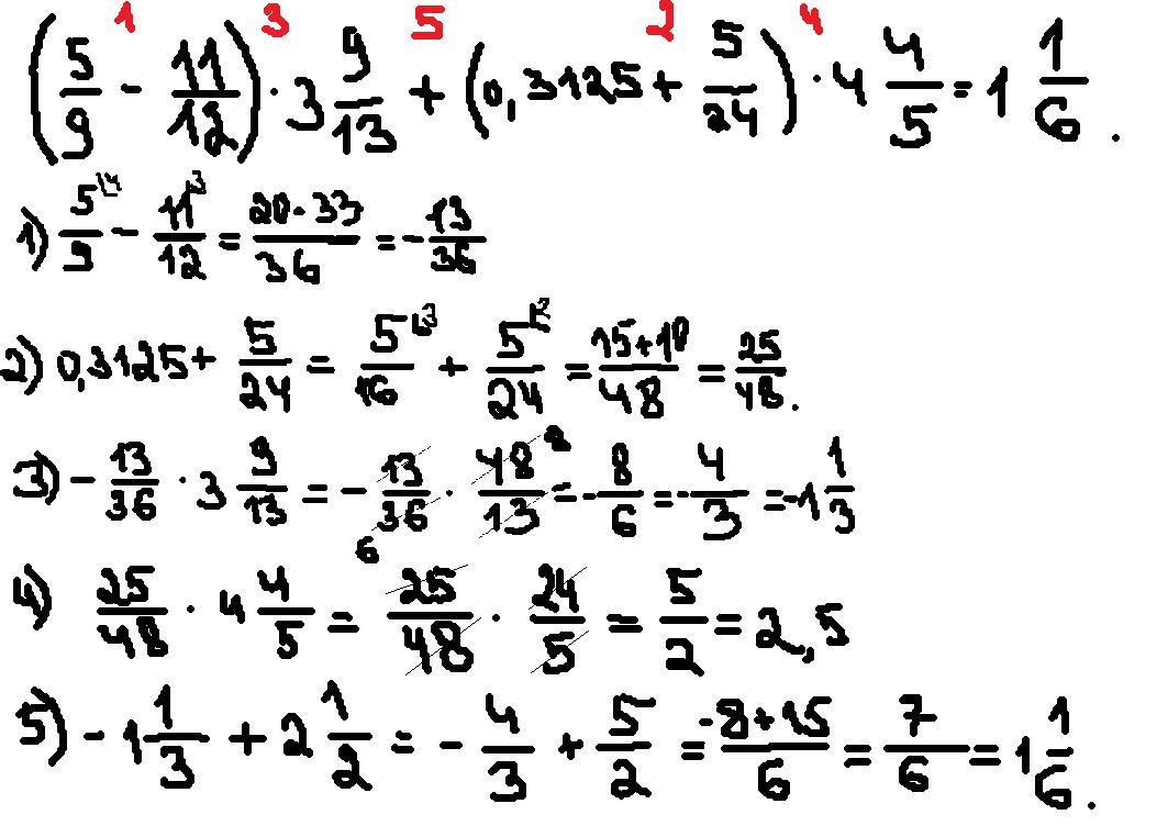
Вычислите.

(5/9 - 11/12) * 3 9/13 + (0,3125 + 5/24) * 4 4/5 

Ответы

Ответ дал: МАрИйКа14
0

Решение во вложении.

Думаю решила правильно.

Приложения:
Вас заинтересует