• Предмет: Математика
  • Автор: Мадиана
  • Вопрос задан 11 лет назад

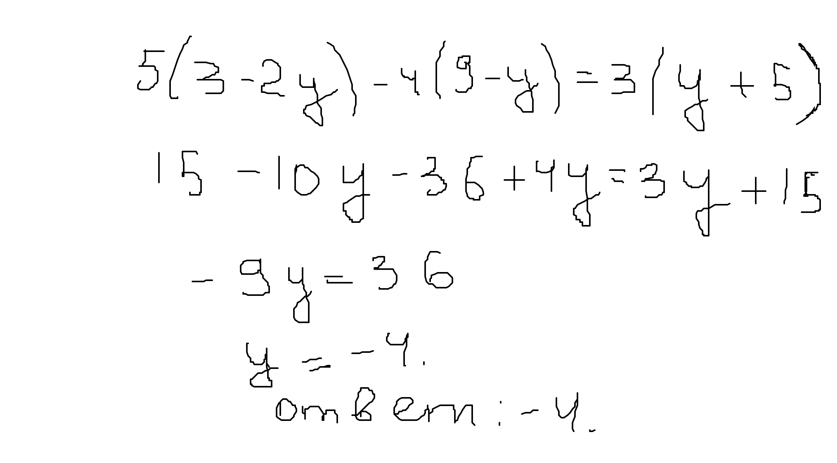
5(3-2у)-4(9-у)=3(у+5)

 

Ответы

Ответ дал: БелкаСладкоежка
0

вот так вот, это очень легко!:)

Приложения:
Вас заинтересует