• Предмет: Математика
  • Автор: karpiuk04
  • Вопрос задан 10 лет назад

Все действия в столбик
1. (2782+886):8=
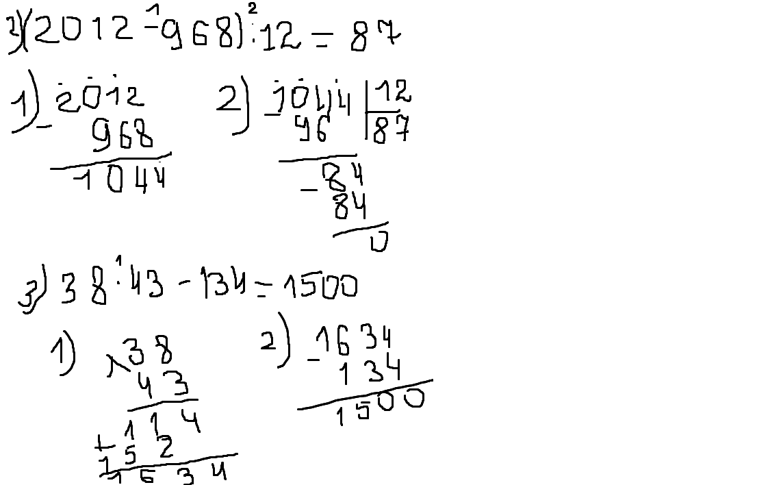
2.(2012-968):12=
3.38*43-134=

Ответы

Ответ дал: Randy228
0
1)(2786+886):8=3672:8=459
2)(2012-968):12=1044:12=87
3)38*43-134=1634-134=1500
№1
1) 2786+886=3672
2) 3672:8=4589
№2
1)2012-968=1044
2)1044:12=87
№3
1)38*43=1634
2)1634-134=1500
Ответ дал: karpiuk04
0
Mister, why do you wrong, just like children? Tonight is the night all sleepy, and that does not begin to understand, I am 12 years old, you have no right to raise tons of me, you stupid man
Ответ дал: sasha9017
0
If you were writing in Russian,who would not with you and not in touch, and started to communicate in English
Ответ дал: Randy228
0
So the children go to bed, and then tomorrow we go to school. Children's time is over.
Ответ дал: Randy228
0
Bye, bye. Sweet dreams. :D
Ответ дал: karpiuk04
0
omorrow I do not go to school, so that the plug mitten,
it is for learning
Ответ дал: sasha9017
0
Вот тебе сайт ещё что бы решать в столбик http://ru.onlinemschool.com/math/assistance/number_theory/calc/ там в столбик всё)

Приложения:
Ответ дал: karpiuk04
0
спасибо
Ответ дал: sasha9017
0
пожалуйста)
Вас заинтересует