• Предмет: Математика
  • Автор: Damik001
  • Вопрос задан 11 лет назад

Найдите корень уравнения:

8у-3(2у-3)=7у-2(5у+8)

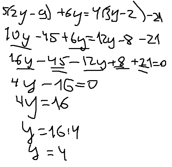
5(2у-9)+6у=4(3у-2)-21

 

 

 

 

Ответы

Ответ дал: Ракуган
0

8у-3(2у-3)=7у-2(5у+8)

8у - 6у + 9 = 7у - 10у - 16

8у -6у +9 -7у + 10у + 16 = 0

5у - 25= 0

5у= 25

у = 5

 

 

 

 

 5(2у-9)+6у=4(3у-2)-21

10у - 45 + 6у = 12у - 8 - 21

 10у - 45 + 6у - 12у + 8 + 21 = 0

4у - 16 = 0

4у = 16

у = 4

 

 

 

 

 

 

 

 

 

 

 

 

 

 

 

Ответ дал: Adlerianna
0

Вся информация во вложении

Приложения:
Вас заинтересует