• Предмет: Алгебра
  • Автор: maksimus122001
  • Вопрос задан 10 лет назад

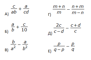
Выполните действия...

Приложения:

Ответы

Ответ дал: GoodChoice
0
ответы выделены красным
Приложения:
Вас заинтересует