• Предмет: Физика
  • Автор: Катриса
  • Вопрос задан 11 лет назад

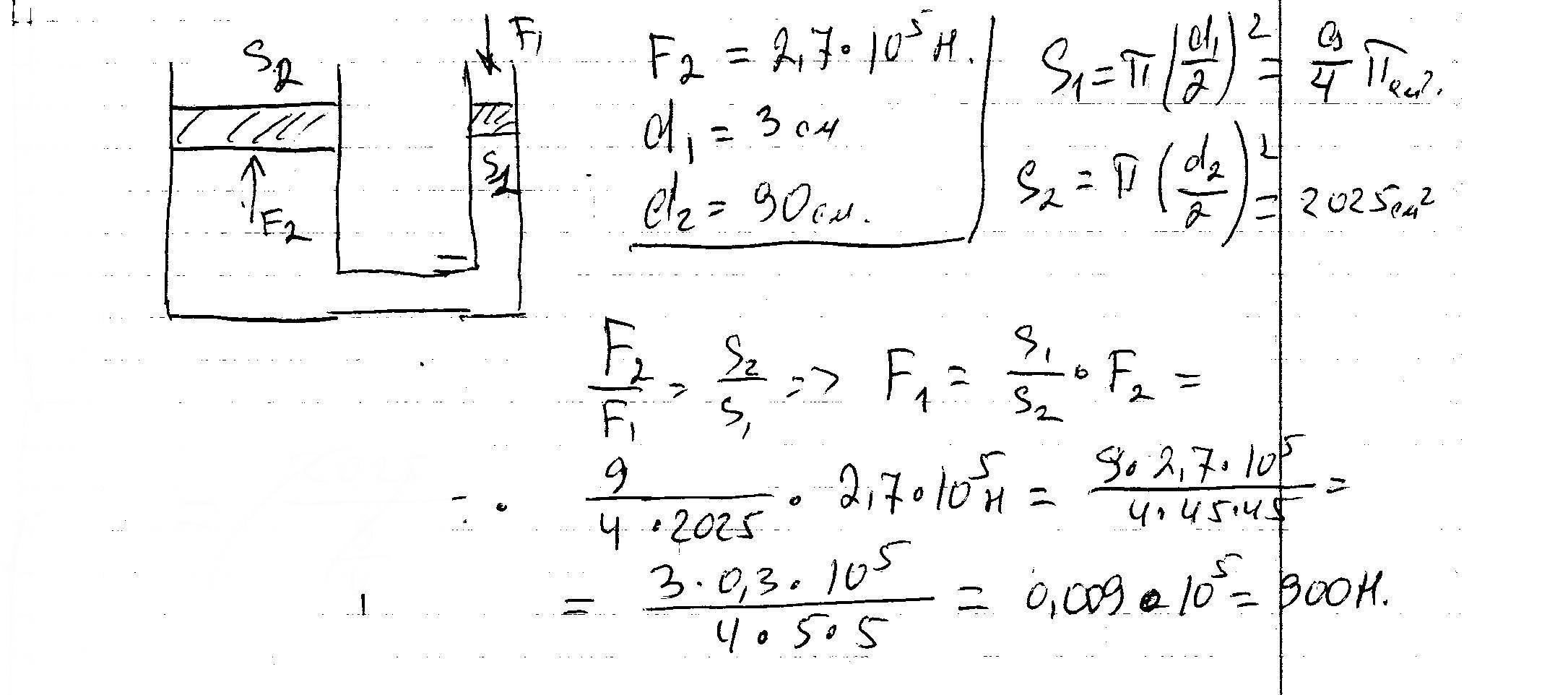
гидравлический пресс должен производить силу 2,7*10в 5 степени Н.диаметр малого поршня 3см,большого 90см.Какая сила должна быть приложена к малому поршню?

Ответы

Ответ дал: ужнеужели
0
решение в скане.............
Приложения:
Вас заинтересует