• Предмет: Алгебра
  • Автор: aaaabbbbbbbbbbbbb
  • Вопрос задан 11 лет назад

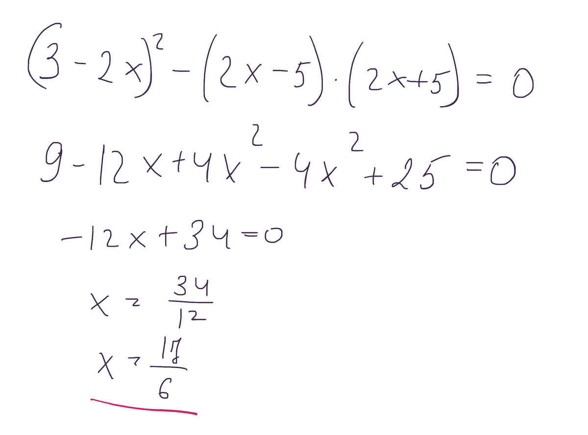
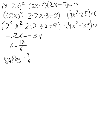
найдите корни уравнения: (3-2x)^2 -(2x-5)(2x+5)=0

Ответы

Ответ дал: смайлик111
0

см.рисунок.................

Приложения:
Ответ дал: Yarane
0

смотрите вложение ниже

Приложения:
Вас заинтересует