• Предмет: Алгебра
  • Автор: Polermo
  • Вопрос задан 10 лет назад

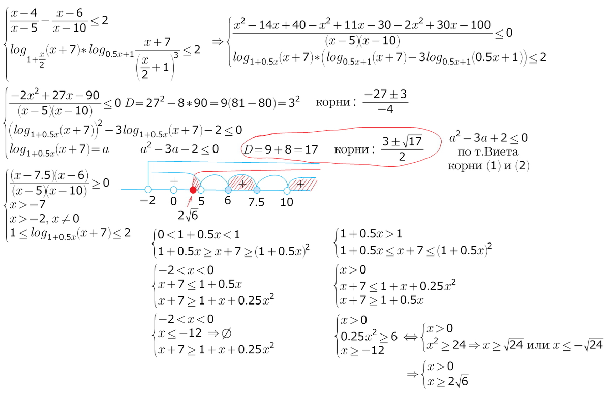
Помогите решить
 left { {{ frac{x-4}{x-5}- frac{x-6}{x-10 }  leq 2 } atop {log _{1+ frac{x}{2} }(x+7)*log _{0,5x+1  } frac{x+7}{( frac{x}{2}+1) ^{3}   }   leq 2 }} right.
Ответ:<2√6;5);<6;7,5>;(10;+∞)
ps. <-квадратные скобки.

Ответы

Ответ дал: LFP
0
и опять опечатка...
во втором неравенстве в правой части должно (минус 2) быть
иначе корни иррациональные для логарифмического неравенства получаются)))
если поставить минус --- тогда решение получится как написано)))
Приложения:
Ответ дал: Polermo
0
да была опять опечатка, у меня из за второй части ответ и не сошелся.
Вас заинтересует