Ответы
Ответ дал:
0
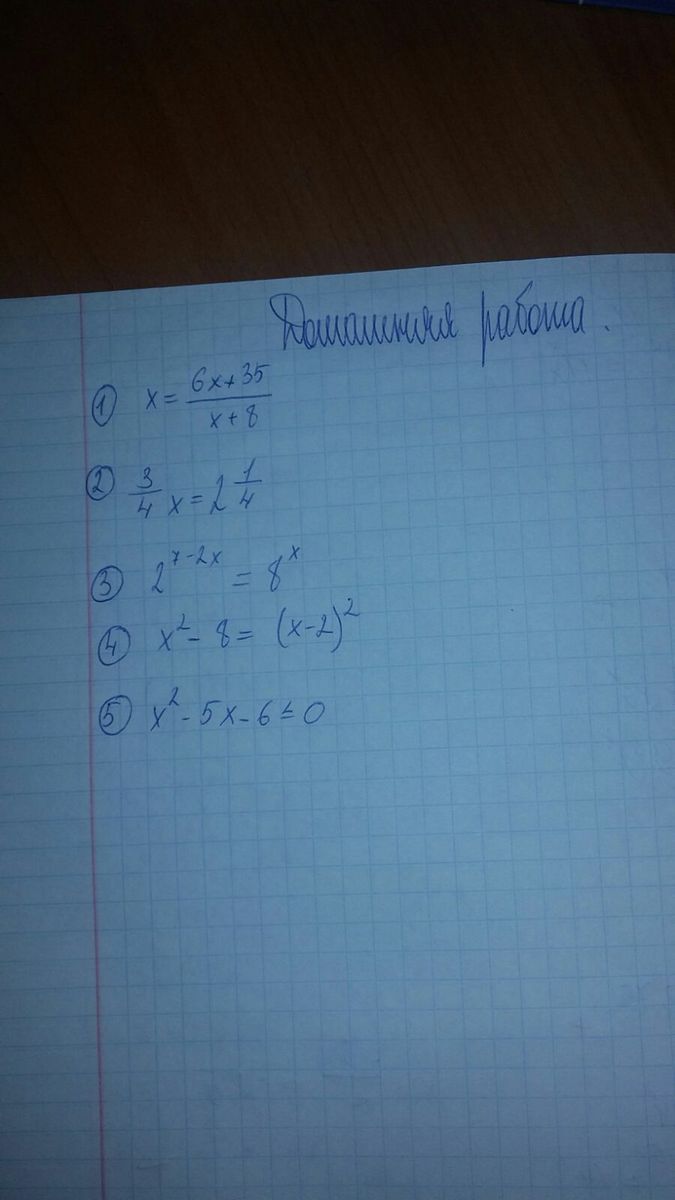
1) x=(6x+35)/(x+8)
x²+8x=6x+35
x²+2x-35=0 D=144
x₁=-7 x₂=5
2) 3x/4=2_1/4
3x/4=9/4
x=3
3) 2^(7-2x)=8^x
2^(7-2x)=2^(3x)
7-2x=3x
5x=7
x=1,2.
4) x²-8=(x-2)²
x²-8=x²-4x+4
4x=12
x=3
5) x²-5x+6≤0 D=1
x₁=3 x₂=2
(x-3)(x-2)≤0
-∞____+____2____-____3____+_____+∞
x∈[2;3].
x²+8x=6x+35
x²+2x-35=0 D=144
x₁=-7 x₂=5
2) 3x/4=2_1/4
3x/4=9/4
x=3
3) 2^(7-2x)=8^x
2^(7-2x)=2^(3x)
7-2x=3x
5x=7
x=1,2.
4) x²-8=(x-2)²
x²-8=x²-4x+4
4x=12
x=3
5) x²-5x+6≤0 D=1
x₁=3 x₂=2
(x-3)(x-2)≤0
-∞____+____2____-____3____+_____+∞
x∈[2;3].
Ответ дал:
0
Спасибо
Вас заинтересует
3 года назад
3 года назад
8 лет назад
8 лет назад
10 лет назад